Giới thiệu
Tuyển sinh
Hợp tác quốc tế
Nghiên cứu khoa học
Tra cứu
Đăng ký tuyển sinh
Khoa
Bộ môn
Trung tâm
Phòng
Viện
Liên hệ
Tài nguyên
Tạp chí
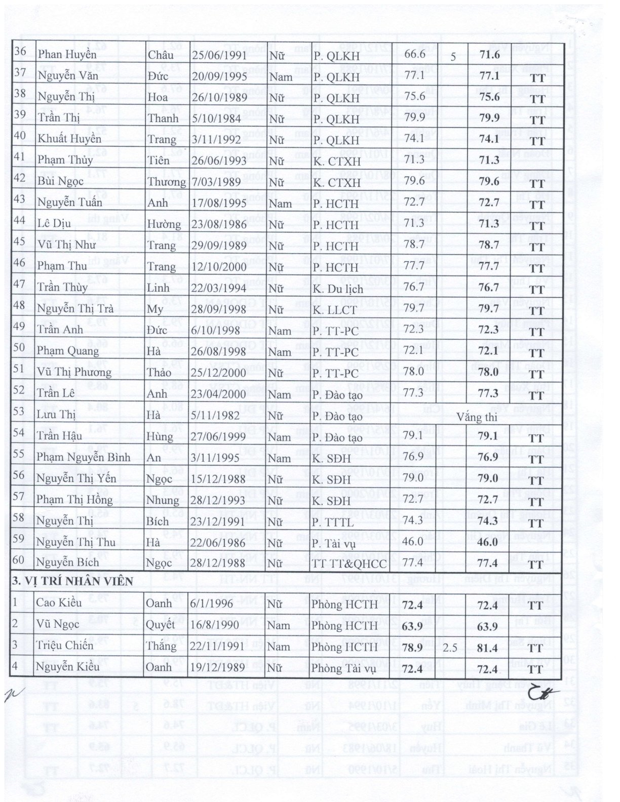
Thông báo về việc công nhận kết quả và dự kiến trúng tuyển viên chức năm 2022
Trang chủ
Cổng thông tin
Tin hoạt động
10/09/2022
41
Thông báo về việc công nhận kết quả và dự kiến trúng tuyển viên chức năm 2022
Chia sẻ:
Tin hoạt động
Tin tức liên quan
Tin hoạt động
20/09/2022
41
Trường Đại học Công Đoàn chọn cử lực lượng tham gia Hội thao Quốc phòng quận Đống Đa năm 2022
Tin hoạt động
12/09/2022
42
Vui Tết trung thu - ngày hội cho các con của Đoàn viên Công Đoàn
1900
info@honeynet.vn